Предмет: Математика,
автор: кРИСТИНОЧКА455
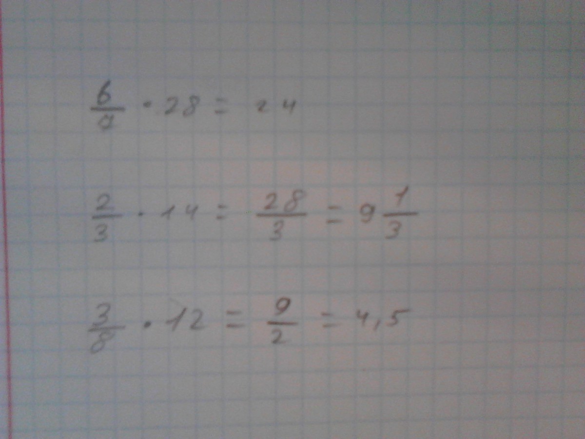
6/7*28=
2/3*14=
3/8*12=
Ответы
Автор ответа:
0
Так понятно?Там просто сокращаешь дроби и всё.
Приложения:
Автор ответа:
0
ВООБЩЕ НЕ ТАК НАДО!!!
Похожие вопросы
Предмет: Литература,
автор: temirbajrajymbek
Предмет: Русский язык,
автор: shahruh61
Предмет: Английский язык,
автор: Аноним
Предмет: Математика,
автор: 1кока1
Предмет: Математика,
автор: ДашаТрюк