Предмет: Алгебра, автор: Ablai97

решите..............

Приложения:

Ответы

Автор ответа: nafanya2014
0
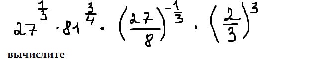
27 ^{ frac{1}{3} }cdot 81 ^{ frac{3}{4} } cdot  (frac{27}{8})  ^{- frac{1}{3} }cdot ( frac{2}{3}) ^{3}=(3 ^{3}) ^{frac{1}{3}} cdot (3 ^{4})  ^{ frac{3}{4} } cdot   ((frac{3}{2}) ^{3} )  ^{- frac{1}{3} }cdot ( frac{2}{3}) ^{3}= \ =3cdot 3^{3} cdot ( frac{3}{2}) ^{-1} cdot ( frac{2}{3}) ^{3}= 3 ^{4}cdot frac{2}{3} cdot ( frac{2}{3}) ^{3}=2 ^{4}=16
Похожие вопросы
Предмет: Другие предметы, автор: cooolgirl6662
помогите помогите помогите помогите помогите помогите помогите помогите помогите помогите помогите помогите помогите помогите помогите помогите помогите помогите помогите помогите помогите помогите помогите помогите помогите помогите помогите помогите помогите помогите помогите помогите помогите помогите помогите помогите помогите помогите помогите помогите помогите помогите помогите помогите помогите помогите помогите помогите помогите помогите помогите помогите помогите помогите помогите помогите помогите помогите помогите помогите помогите помогите помогите помогите помогите помогите помогите помогите помогите помогите помогите помогите помогите помогите помогите помогите помогите помогите помогите помогите помогите помогите помогите помогите помогите помогите помогите помогите помогите помогите помогите помогите помогите помогите помогите помогите помогите помогите помогите помогите помогите помогите помогите помогите помогите помогите помогите помогите помогите помогите помогите помогите помогите помогите помогите помогите помогите помогите помогите помогите помогите помогите помогите помогите помогите помогите помогите помогите помогите помогите помогите помогите помогите помогите помогите помогите помогите помогите помогите помогите помогите помогите помогите помогите помогите помогите помогите помогите помогите помогите помогите помогите помогите помогите помогите помогите помогите помогите помогите помогите ​