Предмет: Математика,
автор: Asemmok
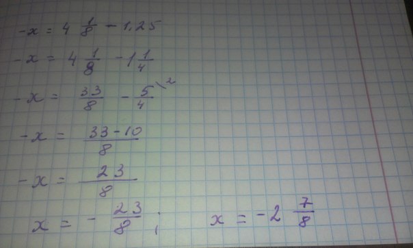
решите уравнение: 1) -x=4 1/8-1,25 2)-y=2/3-3/7
Ответы
Автор ответа:
0
вроде как так должно выглядеть решение
Приложения:
Автор ответа:
0
спс огромное
Автор ответа:
0
молодец ты лучшая
Похожие вопросы
Предмет: Алгебра,
автор: leramirnaya200258
Предмет: Физика,
автор: sainwalk0
Предмет: Математика,
автор: alexander553
Предмет: История,
автор: namazov97