Предмет: Математика,
автор: laurazeynalova
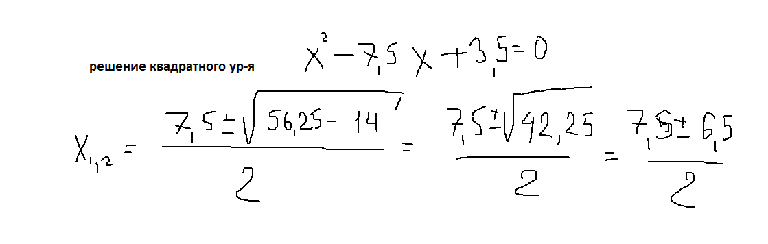
выполнение задания было поручено двум бригадам. После того как первая бригада проработала 2 дня, работе приступила вторая бригада. И через 1 3/4 дня они вместе выполнили задание.За сколько дней это задание могла бы выполнить каждая бригада, работая отдельно, если первой потребуется на это на 2 дня менше?
Ответы
Автор ответа:
0
Решение в приложенном файле
Приложения:
Похожие вопросы
Предмет: История,
автор: Аноним
Предмет: Русский язык,
автор: nurai2703
Предмет: Математика,
автор: velinvowa
Предмет: Физика,
автор: ta23