Предмет: Алгебра,
автор: Аноним
2 номера, 8 класс
Решите уравнение
номер 176,177(б,г,е)
Приложения:
Ответы
Автор ответа:
0
пишу что-то чтобы отправить фото...
Приложения:
Автор ответа:
0
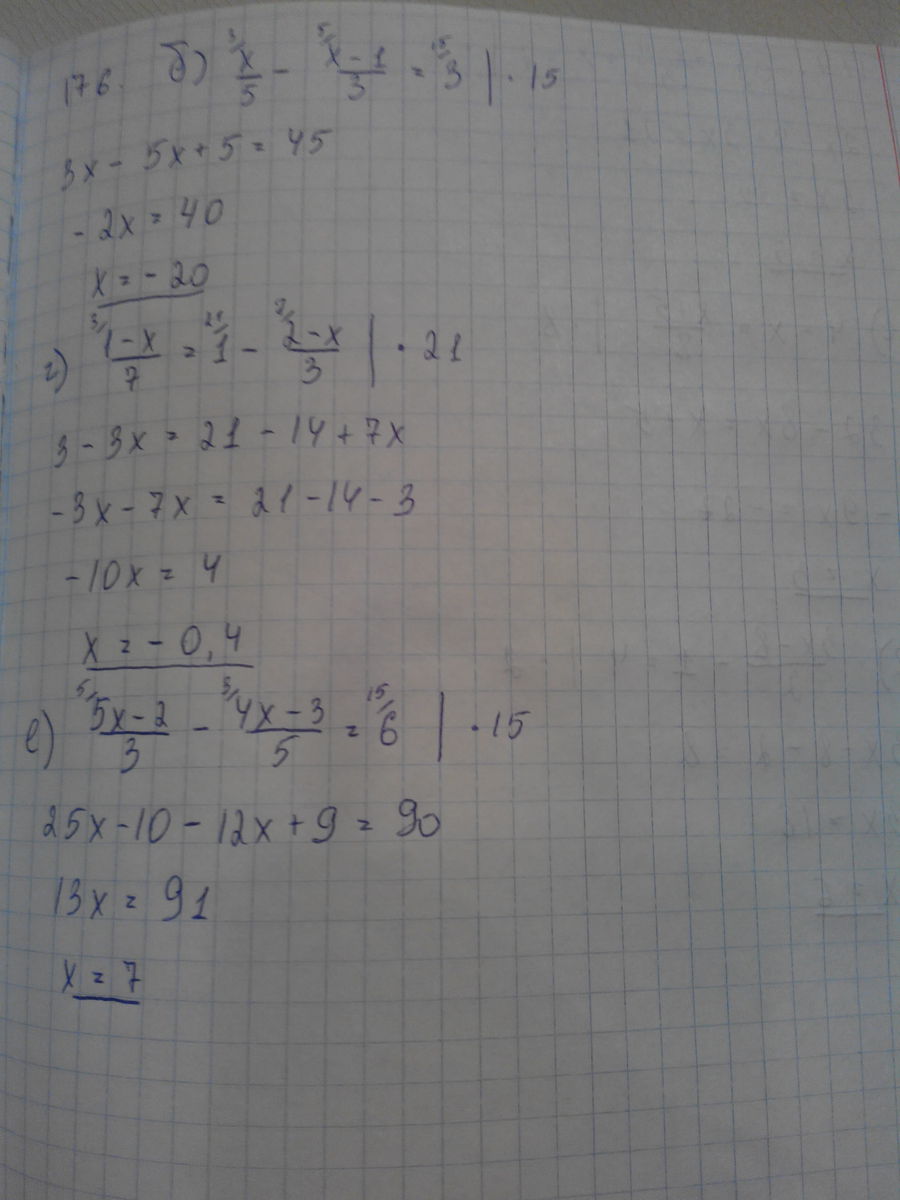
176б

умножим на 15



176г

умножим на 21

10x=-4
x=-0.4
176e

умножим на 15

13x=91
x=7
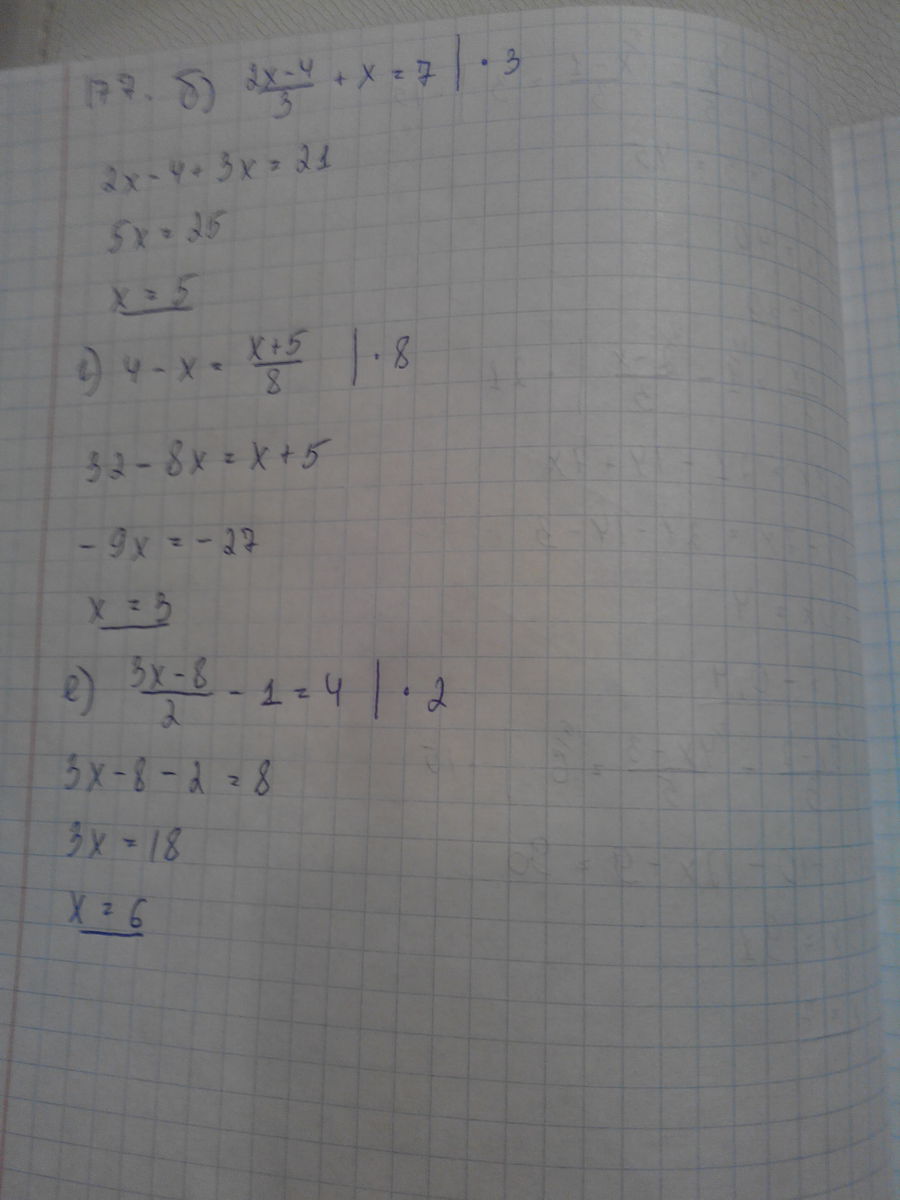
177б

умножим на 3
2x-4+3x=21
5x=25
x=5
177г

умножим на 8
32-8x=x+5
9x=27
x=3
177e

умножим на 2
3x-8-2=8
3x=18
x=6
умножим на 15
176г
умножим на 21
10x=-4
x=-0.4
176e
умножим на 15
13x=91
x=7
177б
умножим на 3
2x-4+3x=21
5x=25
x=5
177г
умножим на 8
32-8x=x+5
9x=27
x=3
177e
умножим на 2
3x-8-2=8
3x=18
x=6
Приложения:
Похожие вопросы
Предмет: Английский язык,
автор: dilnazsembaeva26
Предмет: Физика,
автор: Аноним
Предмет: Русский язык,
автор: abdulDemon
Предмет: Химия,
автор: CоNя
Предмет: Литература,
автор: kabdulkhalikov