Предмет: Алгебра,
автор: alinkamalina16
уравнение помогите))
√х=13
Приложения:
Ответы
Автор ответа:
0
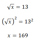
Для того, чтоб решать подобные уравнения необходимо возводить обе части в квадрат, чтоб икс (x) "ушёл из-под корня", в общем:
Приложения:
Автор ответа:
0
13 или не имеет смысла
Приложения:
Похожие вопросы
Предмет: Химия,
автор: yasmina1604
Предмет: Математика,
автор: faisal01005
Предмет: Русский язык,
автор: milena2704makarova
Предмет: Геометрия,
автор: Darya1837
Предмет: Математика,
автор: yanagataullina