Предмет: Алгебра,
автор: soundMax
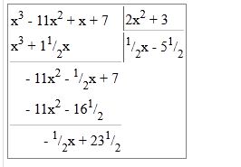
Найдите остаток от деления многочлена f(x)=x^3-11x^2+x+7 на многочлен P(x)=2x^2+3
Ответы
Автор ответа:
0
Решение:
см.рис.
====================================
Приложения:
Похожие вопросы
Предмет: Литература,
автор: mariaart3713
Предмет: Математика,
автор: alfiyaabdilda
Предмет: Информатика,
автор: akasmahunova
Предмет: Математика,
автор: vervar
Предмет: Алгебра,
автор: olya1995