Предмет: Алгебра,
автор: Sveta0707
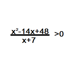
решите пример x^2-14x+48 дробная черта x+7>0
Приложения:
Ответы
Автор ответа:
0
РЕШЕНИЕ:
СМ.ВЛОЖЕНИЕ
==================================
Приложения:
Похожие вопросы
Предмет: Химия,
автор: 91827364572
Предмет: Биология,
автор: skutelnikviktoria
Предмет: Другие предметы,
автор: SosnovskayaVeronika
Предмет: Алгебра,
автор: Alenka09