Предмет: Алгебра,
автор: artamonova666
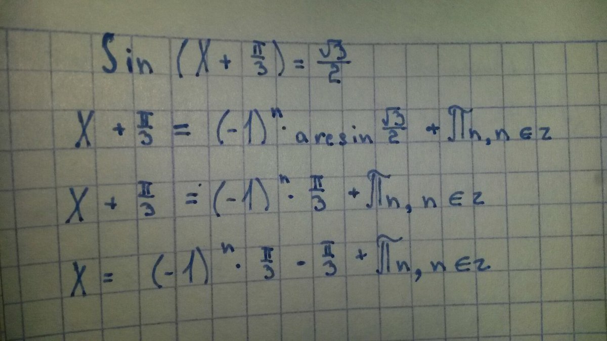
решите уравнения. sin(x+π/3)= √3/2
Ответы
Автор ответа:
0
)))))))))))))))))))))
Приложения:
Автор ответа:
0
спасибо большое:*
Похожие вопросы
Предмет: История,
автор: zmasakar
Предмет: Математика,
автор: fanhaosit31
Предмет: Обществознание,
автор: lol8789
Предмет: Геометрия,
автор: plashch1995z
Предмет: Алгебра,
автор: rewarded