Предмет: Математика,
автор: albrt1234567890
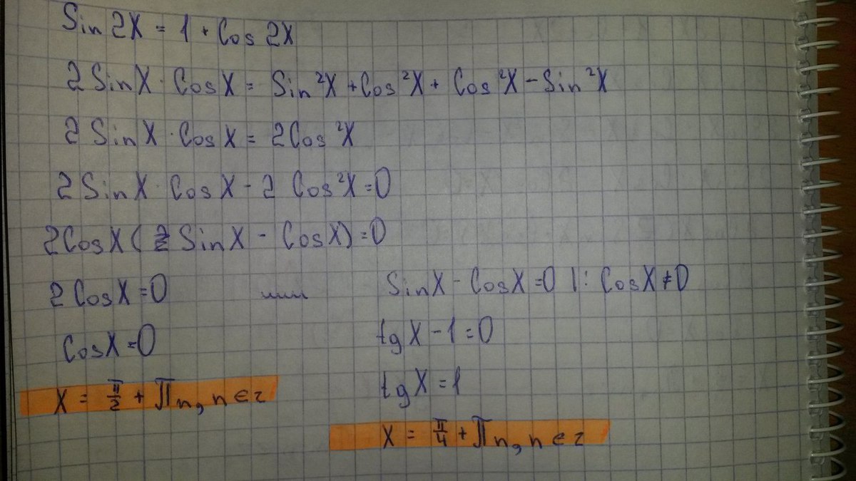
sin2(x)-3=2sinx
помогите пожалик срочно
Ответы
Автор ответа:
0
Смотри решение во вложении)
Приложения:
Похожие вопросы
Предмет: Математика,
автор: aizhank7499
Предмет: Математика,
автор: Аноним
Предмет: Русский язык,
автор: zholdasbekmerei5
Предмет: История,
автор: Pomoshnik1488
Предмет: Алгебра,
автор: kalgenkalgen