Предмет: Алгебра,
автор: boonaty
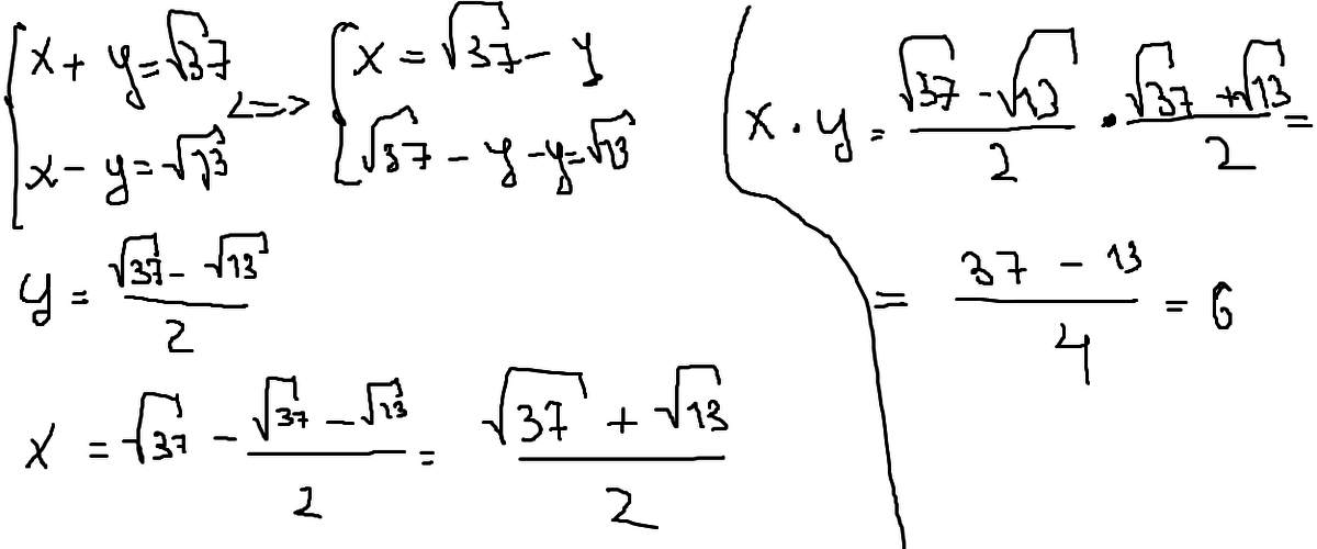
сумма двух чисел равна √37,а их разность √13.произведение этих чисел равно
Ответы
Автор ответа:
0
Пусть первое число а, второе - b. тогда (а+b)^2=37, а (а-b)^2=13;
раскроем скобки a^2+2*a*b+b^2=37, a^2-2a*b+b^2=13, вычтем из первого второе
a^2+2*a*b+b^2-(a^2-2*a*b+b^2)=37-13
a^2+2*a*b+b^2-a^2+2*a*b-b^2=24 упростим
4*a*b=24
a*b=6
раскроем скобки a^2+2*a*b+b^2=37, a^2-2a*b+b^2=13, вычтем из первого второе
a^2+2*a*b+b^2-(a^2-2*a*b+b^2)=37-13
a^2+2*a*b+b^2-a^2+2*a*b-b^2=24 упростим
4*a*b=24
a*b=6
Автор ответа:
0
6..................................................
Приложения:
Похожие вопросы
Предмет: Другие предметы,
автор: Аноним
Предмет: Математика,
автор: nurik4376
Предмет: Русский язык,
автор: dahyun56
Предмет: География,
автор: lerik41
Предмет: Математика,
автор: aleshina77