Предмет: Алгебра,
автор: Аноним
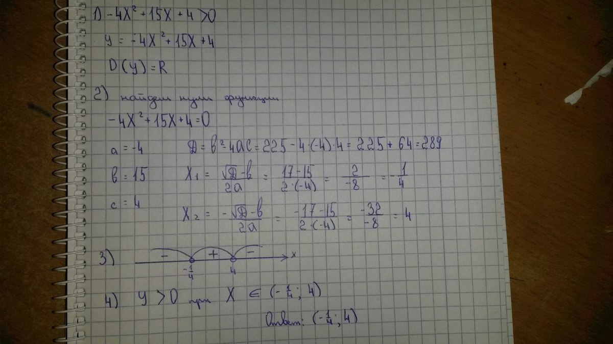
-4х^2+15х+4 больше нуля
помогите пожалуйста
Ответы
Автор ответа:
0
Решение во вложении, перепроверь
Приложения:
Автор ответа:
0
чтобы решить неравенство, надо сначала решить его как уравнение. после чего корни уравнения изобразить на координатной прямой. В данном случае - это квадратное уравнение, значит отметив корни на прямой мы рисуем кусочек параболы (перед х^2 стоит число -4 значит ветви у параболы направлены вниз). Нас спрашивают >0, значит ту часть что выше координатной прямой. Все остальное на фото
Приложения:
Похожие вопросы
Предмет: Биология,
автор: skripkamaksim8
Предмет: Русский язык,
автор: mamytbayev77
Предмет: Русский язык,
автор: atulakova
Предмет: История,
автор: alandzagoev19
Предмет: Алгебра,
автор: JanResolve