Предмет: Физика,
автор: vanek08muse
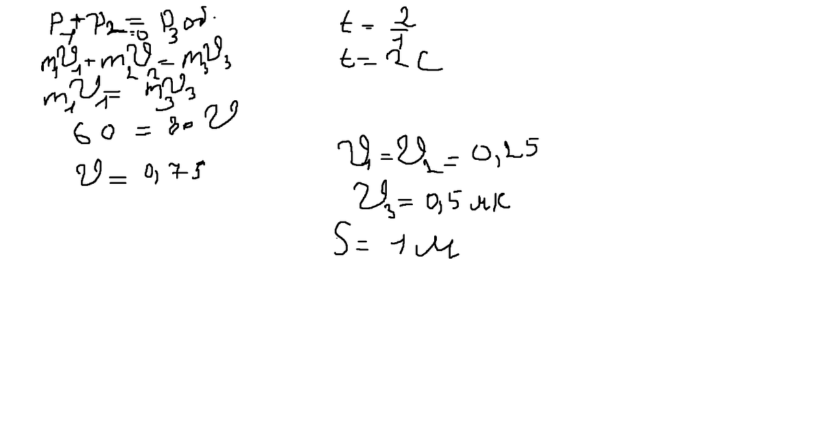
На полу стоит тележка в виде длинной доски, снабженной легкими колесами. На одном конце доски стоит человек. Его масса M=60 кг, масса доски m=20 кг. Найти, на какое расстояние переместится человек относительно пола при его переходе на другой конец доски со скоростью V1 = 1 м/с относительно доски. Длина доски l = 2 м. массой колес и трением в их осях пренебречь.
Ответы
Автор ответа:
0
,,,,,,,,,,,,,,,,,,,,,,,,,,,,,,,,,,,
Приложения:
Автор ответа:
0
спасибо большое
Похожие вопросы
Предмет: Математика,
автор: arina7772
Предмет: Литература,
автор: vkorukov28
Предмет: Қазақ тiлi,
автор: anvarovanayla
Предмет: История,
автор: Lady142