Предмет: Химия,
автор: zodino
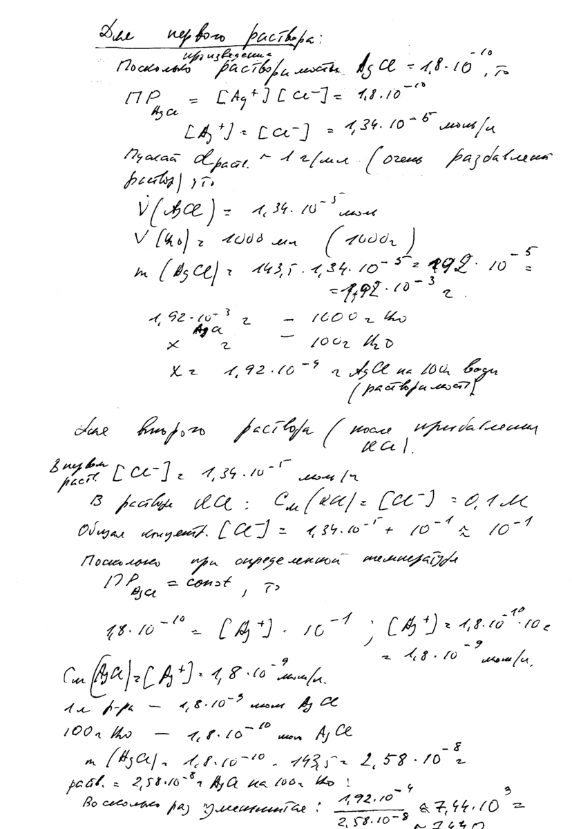
Во сколько раз уменьшится растворимость AgCl, если к 1 л его насыщенного раствора прибавить 0,1 моля КСl? Степень диссоциации КСl равна 0,86. Произведение растворимости AgCl составляет 1,8.10–10.
Ответы
Автор ответа:
0
Успехов!!!!!!!!!!!!!!!!!!!!!
Приложения:
Похожие вопросы
Предмет: Русский язык,
автор: aikazhanssk
Предмет: Математика,
автор: lesa9680
Предмет: Биология,
автор: dbolsakov956
Предмет: Математика,
автор: lng
Предмет: Алгебра,
автор: RenauItFT