Предмет: Геометрия,
автор: geor99gy
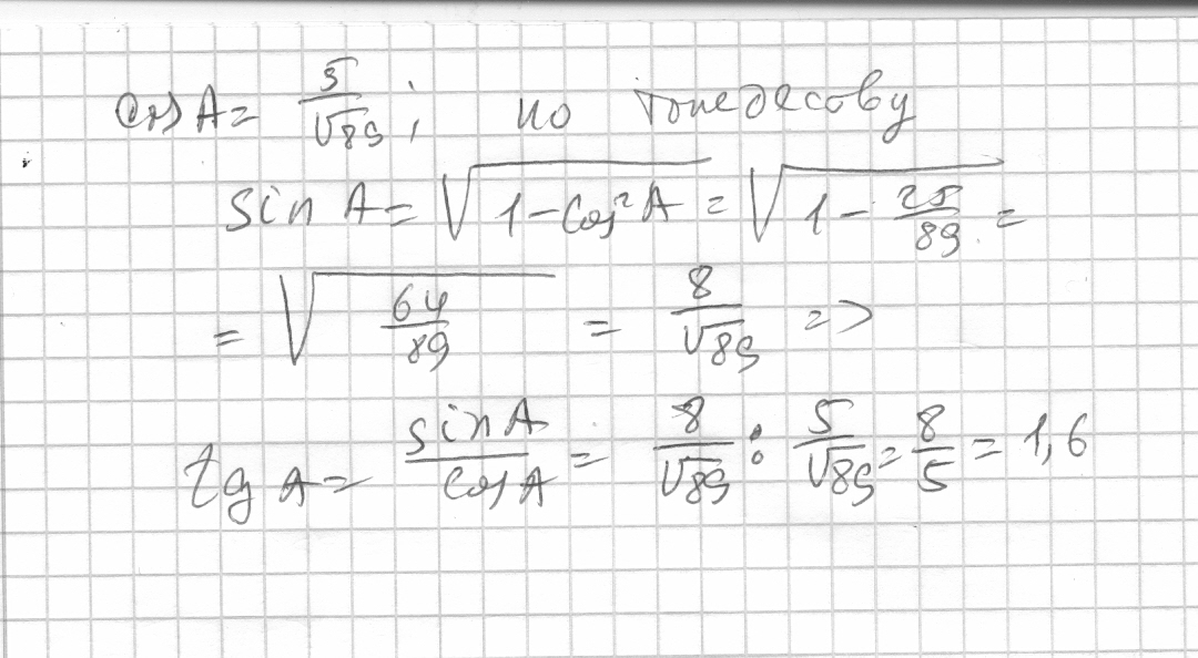
В треугольнике ABC угол C равен 90 градусов,cosA=5/корень 89. Найдите tgA.
Пожалуйста помогите. Заранее спасибо)
Если что,то номер 6.57. Большое спасибо.
Приложения:
Ответы
Автор ответа:
0
Тут вполне достаточно простейших тригонометрических преобразований и знания определения тангенса, как отношения синуса угла к косинусу этого же угла.
Приложения:
Похожие вопросы
Предмет: Литература,
автор: Vikakoveza
Предмет: Русский язык,
автор: Aldrer
Предмет: Математика,
автор: perfilevayelezaveta
Предмет: Физика,
автор: den8760
Предмет: Математика,
автор: safonovadianoc