Предмет: Алгебра,
автор: akpar02
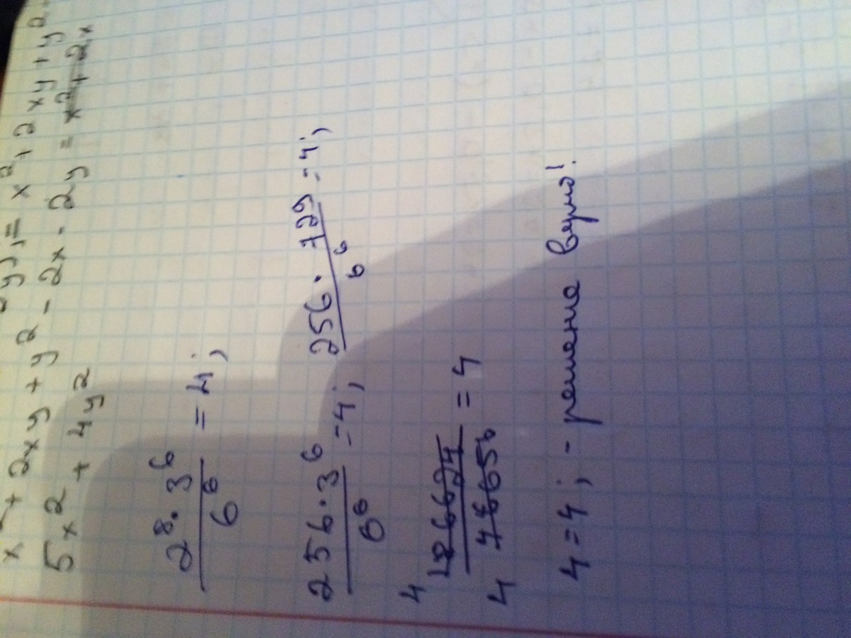
помогите упростит выражение
Приложения:
Ответы
Автор ответа:
0
так как 6=2*3, можно преобразовать в
сократив получим 4
Автор ответа:
0
это весь пример?
Автор ответа:
0
Ща решу это легко и просто! Ща напишу и отправлю вложение
Автор ответа:
0
)))
Автор ответа:
0
Все просто и легко! Тут даже думать не надо
Приложения:
Автор ответа:
0
))
Автор ответа:
0
нуну)
Похожие вопросы
Предмет: История,
автор: yraproste
Предмет: Французский язык,
автор: obloznaap
Предмет: Математика,
автор: Аноним
Предмет: Литература,
автор: oksysokolova
Предмет: Математика,
автор: кислякККк