Предмет: Алгебра,
автор: missFr
Отдаю 158 баллов за подробный алгоритм сокращения таких дробей!
Какие действия нужно делать,к чему приводить и т.д.
Ответы
Автор ответа:
0
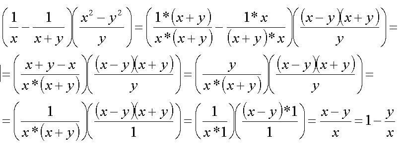
смотри решение во вложении
каждый шаг расписан подробно
алгоритм - все суммы и разности приводим под общую черту дроби
в числителях и знаменателях находим одинаковые множители и сокращаем их
каждый шаг расписан подробно
алгоритм - все суммы и разности приводим под общую черту дроби
в числителях и знаменателях находим одинаковые множители и сокращаем их
Приложения:
Похожие вопросы
Предмет: Русский язык,
автор: elizahakimanova624
Предмет: Алгебра,
автор: ykeppusu7048
Предмет: Биология,
автор: r4ychh
Предмет: Математика,
автор: lthtdj256
Предмет: Литература,
автор: novitskayaanya