Предмет: Алгебра,
автор: Kate0402
Ребят, помогите пожалуйста)))
Приложения:
Ответы
Автор ответа:
0
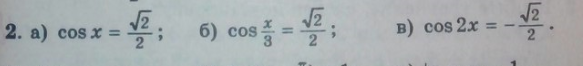
А)сosx=√2/2 x=+-П/4+2Пn
Б)cos1/3 x=√2/2 1/3x=+-П/4+2Пn x=+-3П/4+6Пn
В) cos2x=-√2/2 -√2/2 = П-П/4=3П/4 2x=+-3П/4+2Пn x==-3П/8+Пn
Б)cos1/3 x=√2/2 1/3x=+-П/4+2Пn x=+-3П/4+6Пn
В) cos2x=-√2/2 -√2/2 = П-П/4=3П/4 2x=+-3П/4+2Пn x==-3П/8+Пn
Похожие вопросы
Предмет: Литература,
автор: GlebVab15
Предмет: Право,
автор: mDut4ak
Предмет: Қазақ тiлi,
автор: tolebaiemelia
Предмет: Физика,
автор: olegxaker
Предмет: Химия,
автор: mishura1999