Предмет: Алгебра,
автор: rkalashnikov
ПОЖАЛУЙСТА РЕШИТЕ ПРИМЕР.......
Приложения:
Ответы
Автор ответа:
0
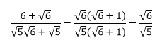
1. Разлаживаешь корень из тридцати на корень из 5 и корень из 6.
2. В числителе выносишь корень из 6.
3. В знаменателе выносишь корень из 5.
4. Сокращаешь одинаковые значения в скобках.
2. В числителе выносишь корень из 6.
3. В знаменателе выносишь корень из 5.
4. Сокращаешь одинаковые значения в скобках.
Приложения:
Похожие вопросы
Предмет: Математика,
автор: giba12
Предмет: Математика,
автор: dzalolovaulduz
Предмет: Математика,
автор: kakashitop49
Предмет: История,
автор: некто15
Предмет: Биология,
автор: Про100Севинч