Предмет: Алгебра,
автор: alenayaroslavs
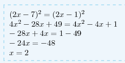
(2x-7)²=(2x-1)² HELP! С РЕШЕНИЕМ!)
Ответы
Автор ответа:
0
Приложения:
Автор ответа:
0
БЛИН, а откуда 28 взялось?))))))
Автор ответа:
0
2х*2*/=28
Автор ответа:
0
2х*7*2=28
Автор ответа:
0
всё, поняла, спасииибо
Автор ответа:
0
даже не успела ответить) удвоенное произведение 1го на 2ое
Похожие вопросы
Предмет: Математика,
автор: khibukhiavs
Предмет: Обществознание,
автор: tgrigorova4
Предмет: Химия,
автор: nikas1802
Предмет: Химия,
автор: Nastya1225
Предмет: Химия,
автор: saxila15