Предмет: Алгебра,
автор: Алёнушка123
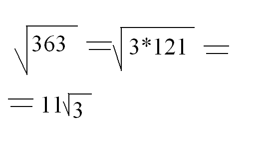
Вынесите множитель из-под знака корня. а) √ 363 Помогите пожалуйста.
Ответы
Автор ответа:
0
ддддддддддддддддддддддддддддддддддддддддд
Приложения:
Похожие вопросы
Предмет: Физкультура и спорт,
автор: Аноним
Предмет: Геометрия,
автор: AdiyaG
Предмет: Литература,
автор: tamilaguseynowa5
Предмет: Математика,
автор: danilla
Предмет: Алгебра,
автор: ksenechka777