Предмет: Алгебра,
автор: АнГеЛиНкА00
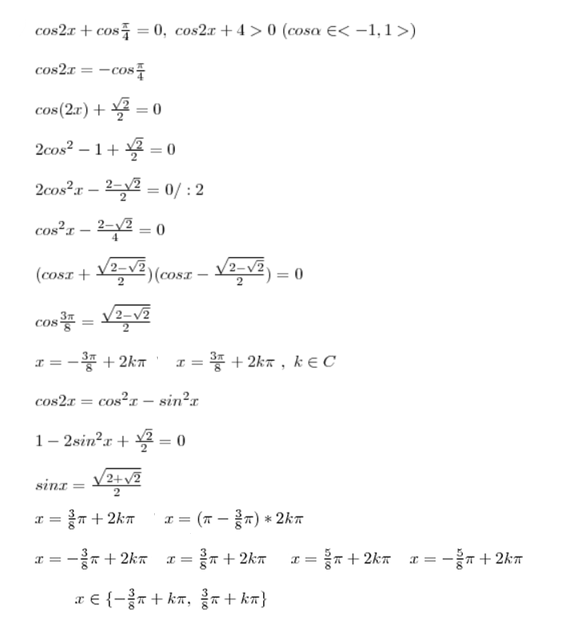
(cos2x+cos п/4)(cos2x+4)=0
Ответы
Автор ответа:
0
решение в приложении
Приложения:
Похожие вопросы
Предмет: История,
автор: toby125
Предмет: Информатика,
автор: zakovinkoveronika
Предмет: Физика,
автор: kb200704
Предмет: Литература,
автор: AirMeat2