Предмет: Алгебра, автор: грыгра2

Ребятушки, спасайте:*

Приложения:

Ответы

Автор ответа: NNNLLL54
0
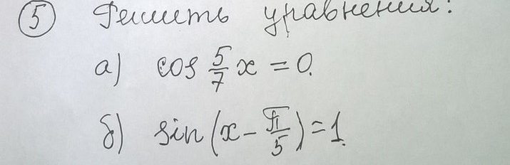
cosfrac{5x}{7}=0\\frac{5x}{7}=frac{pi}{2}+pi n,; nin Z\\x=frac{7pi }{10}+frac{7pi n}{5}\\\sin(x-frac{pi}{5})=1\\x-frac{pi}{5}=frac{pi}{2}+2pi n,\\x=frac{7pi}{10}+2pi n,; nin Z
Похожие вопросы