Предмет: Алгебра,
автор: Аноним
СРОЧНОО!ПОЖАЛУЙСТААА!!КТО САМЫЙ ДОБРЫЙ И ОТЗЫВЧИВЫЙ ЧЕЛОВЕК!
Сложение и вычитание алгебраических дробей
Приложения:
Ответы
Автор ответа:
0
/-деление(дробь), *-умножение всего числа(дроби)
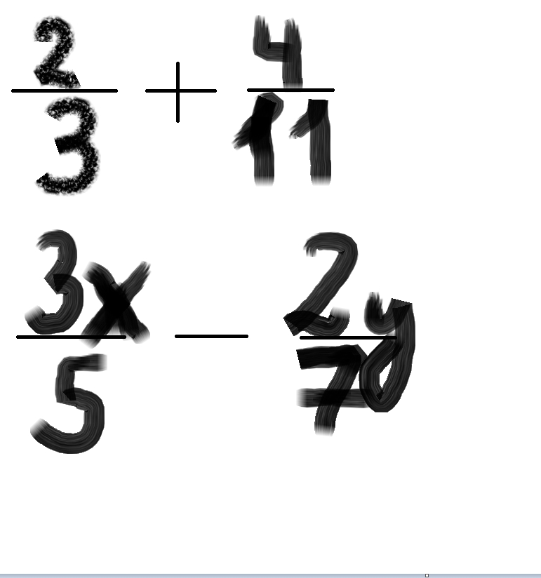
1) 2/3+4/11= 2/3*11+4/11*3=22/33+12/33=34/33 или 1 целая 1/33
2)3х/5-2у/7= 3х/5*7-2у/7*5=21х/35-10у/35= общая дробь! 21х-10у/35
и все
1) 2/3+4/11= 2/3*11+4/11*3=22/33+12/33=34/33 или 1 целая 1/33
2)3х/5-2у/7= 3х/5*7-2у/7*5=21х/35-10у/35= общая дробь! 21х-10у/35
и все
Похожие вопросы
Предмет: Литература,
автор: Аноним
Предмет: Алгебра,
автор: zorahanakpanov
Предмет: Қазақ тiлi,
автор: Аноним
Предмет: История,
автор: Nata45896
Предмет: История,
автор: Angel287