Предмет: Алгебра,
автор: серый184
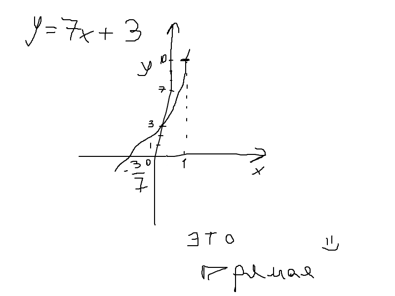
построить график y=7x+3
Ответы
Автор ответа:
0
ну как то так. кривовато, но нужные точки есть)
Приложения:
Похожие вопросы
Предмет: История,
автор: aidazhal29
Предмет: Математика,
автор: poznaybol
Предмет: Химия,
автор: eskeanastasia05
Предмет: Математика,
автор: jfg
Предмет: Физика,
автор: катявова