Предмет: Математика,
автор: fifa13center
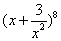
Найдите коэффициент при х² в разложении
Приложения:
Ответы
Автор ответа:
0
будет: 24^ 3 и х переносишь за скобки, в ответе должно получится 3^
Похожие вопросы
Предмет: Информатика,
автор: Аноним
Предмет: Математика,
автор: gotfridvadim
Предмет: Биология,
автор: temoxa00let
Предмет: Физика,
автор: САНЯ111222