Предмет: Алгебра,
автор: nahodkaalenka
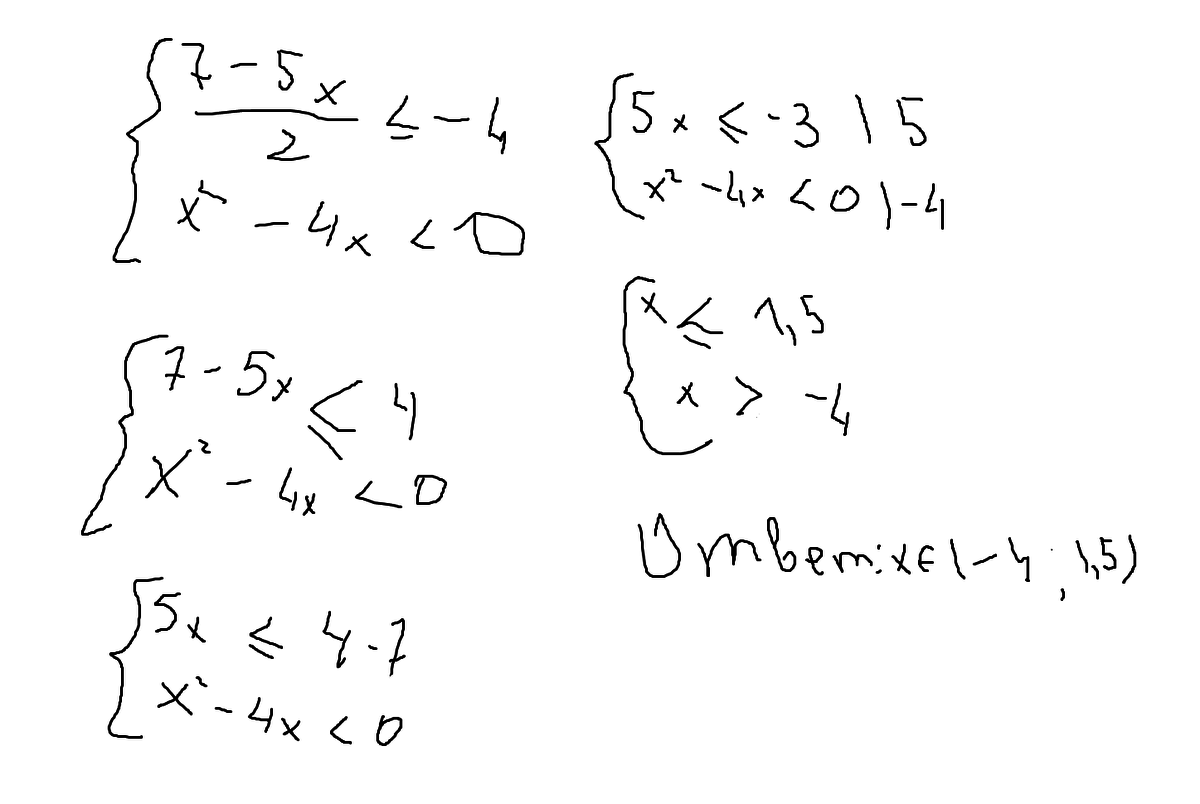
решите систему неравенств
7-5х
― ≤ -4
2;
х²-4х< 0
(всё это под фигурной скобкой + в первом выражении это такая дробная черта)
Ответы
Автор ответа:
0
Вроде так решено да, точно так
Приложения:
Похожие вопросы
Предмет: Химия,
автор: sdfghsthsfgh
Предмет: Математика,
автор: Аноним
Предмет: История,
автор: senyaKlimovich
Предмет: Литература,
автор: kodnata