Предмет: Алгебра, автор: CooperJapan

решите пожалуйста !!! заранее спасибо
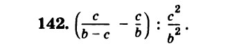
решите пожалуйста !!! заранее спасибо

Приложения:

Ответы

Автор ответа: inblu
0
frac{cb-c(b-c)}{b(b-c)}: frac{c^2}{b^2}= frac{cb-cb+c^2}{b(b-c)}* frac{b^2}{c^2}= frac{c^2*b^2}{b(b-c)c^2}= frac{b}{b-c}
Автор ответа: inblu
0
голова и пальцы, набивающие это тут )
Автор ответа: CooperJapan
0
а как ты в цифровом формате ?
Автор ответа: CooperJapan
0
щас ещё 1 задание добавлю
Автор ответа: inblu
0
здесь есть значок "пи", типа редактора формул
Похожие вопросы
Предмет: Українська мова, автор: mariasiz2008
1. У якому рядку всі слова – дієприкметники?
а) Зшитий, холодний, посіяний, теплий;
б) підбілений, вимитий, прив'язаний, порослий;
в) пекучий, печений, занесений, грізний;
г) несказаний, жарений, червоний, полонений.

2. У якому рядку всі дієприкметники активного стану?
а) Задуманий, прочитаний, літаючий, сидячий;
б) посивілий, падаючий, крокуючий, сяючий;
в) посинілий, лежачий, підбитий, знесений;
г) заражений, замислений, стоячий, забруднений.

3. У якому рядку всі дієприкметники доконаного виду?
а) Розбитий, зламаний, скошений, забутий;
б) спалений, зігнутий, згасаючий, бажаючий;
в) працюючий, побачений, стиснутий, волаючий;
г) читаючий, помолоділий, стомлений, співаючий.

4. У якому рядку всі дієприкметники пасивного стану?
а) Змелений, схвалений, зварений, намальований;
б) зволожений, зів'ялий, знесилений, зібраний;
в) пожовклий, осяяний, почорнілий, випечений;
г) розв'язаний, змелений, дихаючий, діючий.

5. У якому рядку всі дієприкметники недоконаного виду?
а) Позолочений, напоєний, молотий, змелений;
б) палаючий, плачучий, тертий, ламаний;
в) вишитий, написаний, атакуючий, зламаний;
г) шитий, просіяний, битий, зораний.

6. У якому рядку всі дієприкметники пишуться з не окремо?
а) Не/зарослі чагарником береги; не/затоплена долина; ніким не/читана книга;
не/завершена робота;
б) ще не/скошене жито; не/просохла земля; не/розсідланий кінь; не/підбілені дерева;
в) не/зірване яблуко; не/побілена хата; не/пришитий ніким ґудзик; не/побачений фільм;
г) не/намальована художником картина; не/скошена мною клумба; не/здоланий ворогом
народ; не/написаний учнем твір.
Предмет: Математика, автор: Аноним