Предмет: Физика,
автор: Paricia
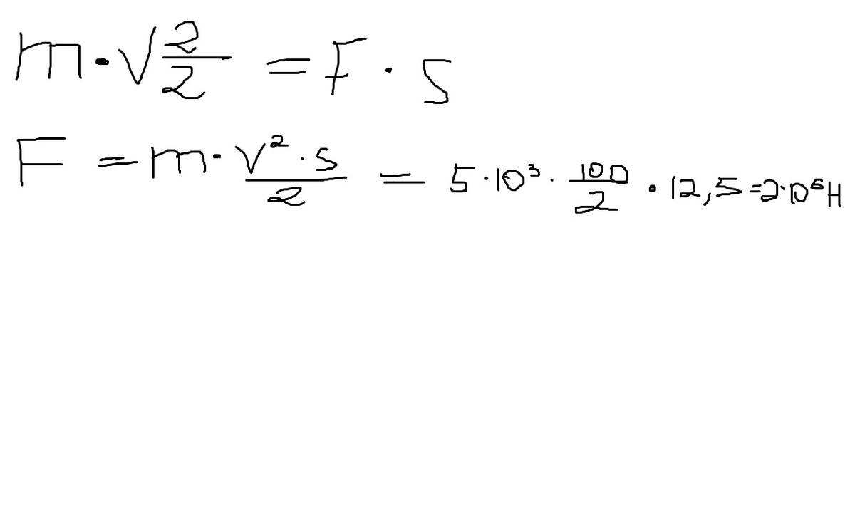
Автомобиль массой 5т, движущийся со скоростью 36км ч, остановлен тормозами на пути 12.5м. Определите силу торможения?
Заранее спасибо =)
Ответы
Автор ответа:
0
как-то так,вроде правильно)
Приложения:
Автор ответа:
0
a=v/t 36км/ч:4с=10км/ч:4=2.5 М/с в квадрате.Ответ:а=2.5м/с
Приложения:
Похожие вопросы
Предмет: Литература,
автор: baseyko79
Предмет: Математика,
автор: michailgutych
Предмет: Русский язык,
автор: mathing50
Предмет: Математика,
автор: Аноним