Предмет: Физика,
автор: Джокер13
Привет^^
Помогите, как построить график по физике, а то на прошлом уроке ничего не поняла :((
Объясните пжл и нарисуйте, в долгу не останусь
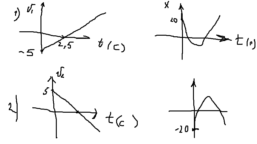
1)x0=20м, u0=-5м/с, a=2 м/с
2) тоже самое, только с противоположными знаками
Ответы
Автор ответа:
0
1)x0=20м, u0=-5м/с, a=2 м/с
V1=Vo+a*t
V1=-5+2*t
x=x0+v0*t+a*t^2/2
X1=20-5*t+ t^2
составляеи таблицы и строим графики по точкам
2)V2=5-2*t
X2(t)=-20+5*t - t^2
V1=Vo+a*t
V1=-5+2*t
x=x0+v0*t+a*t^2/2
X1=20-5*t+ t^2
составляеи таблицы и строим графики по точкам
2)V2=5-2*t
X2(t)=-20+5*t - t^2
Приложения:
Автор ответа:
0
а какие значения брать, что бы график построить?
Похожие вопросы
Предмет: Химия,
автор: ancity2
Предмет: Кыргыз тили,
автор: Galinka90
Предмет: Математика,
автор: Аноним
Предмет: Математика,
автор: fhbyf500