Предмет: Алгебра,
автор: alexandradz
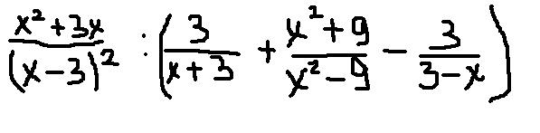
упростите выражение
что-то я запуталась с формулами сокращенного умножения
Приложения:
Ответы
Автор ответа:
0
х²+3х
(х-3)² вроде так получается
(х-3)² вроде так получается
Автор ответа:
0
--------------------------------------------------
Приложения:
Похожие вопросы
Предмет: Математика,
автор: prokopevasajnaara
Предмет: Английский язык,
автор: mexodran
Предмет: История,
автор: aida1268
Предмет: Литература,
автор: Mrlololomska