Предмет: Алгебра,
автор: demenkova1
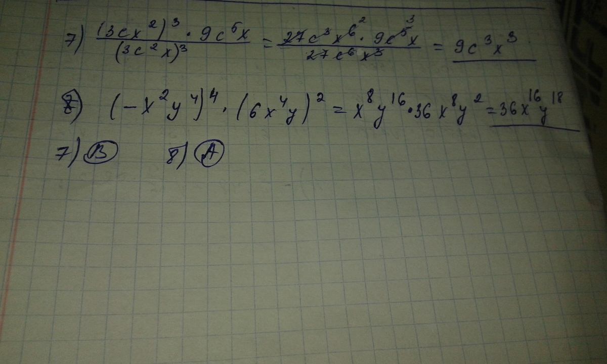
Срочно надо! номер 7 и 8
Приложения:
Ответы
Автор ответа:
0
вот написала кажется так
Приложения:
Автор ответа:
0
там в ответе 8) -36х^16y^18
Похожие вопросы
Предмет: Физика,
автор: Veronikagallager
Предмет: Биология,
автор: tauznanskaaaleksandr
Предмет: Математика,
автор: TeddyBear666
Предмет: Алгебра,
автор: cristallina