Предмет: Алгебра,
автор: аляляяяяяяя
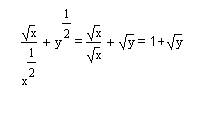
корень квадратный из х поделить на х в 1/2 степени+у в 1/2 степени
Ответы
Автор ответа:
0
ну вообще то это элементарно Если степень дробная то число ставится под корень n нной степени и возводится в k степень где числитель дроби = k а знаменатель n.
y^(1/2)=2root(y^1)
Приложения:
Похожие вопросы
Предмет: Математика,
автор: kozlovamargarita2005
Предмет: Литература,
автор: rompavkr7
Предмет: Геометрия,
автор: renatasuhay
Предмет: География,
автор: rusakovwn
Предмет: История,
автор: sinerDt