Предмет: Алгебра,
автор: Аноним
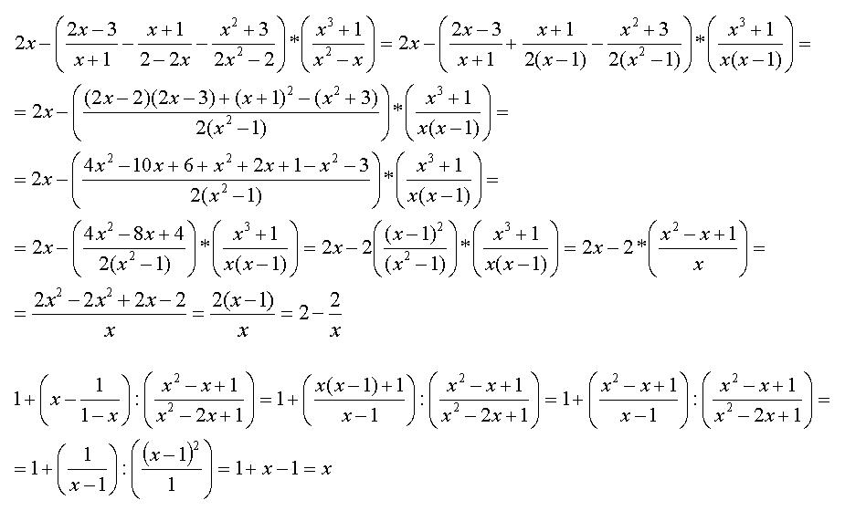
СРОЧНО ПОМОГИТЕ РЕШИТЬ 2 ПРИМЕРА, ЖЕЛАТЕЛЬНО РЕШЕНИЕ ТАК ЖЕ НАПИСАТЬ НА ЛИСТОЧКЕ И СФОТОГРАФИРОВАТЬ ПОМОГИТЕ!!!
ЗАДАНИЕ НА ФОТО
Приложения:
Ответы
Автор ответа:
0
Похожие вопросы
Предмет: Биология,
автор: noname04487
Предмет: Английский язык,
автор: amirhonsd
Предмет: Алгебра,
автор: 123621361237800
Предмет: Литература,
автор: AlinaLyubkina