Предмет: Химия,
автор: samsung09876534
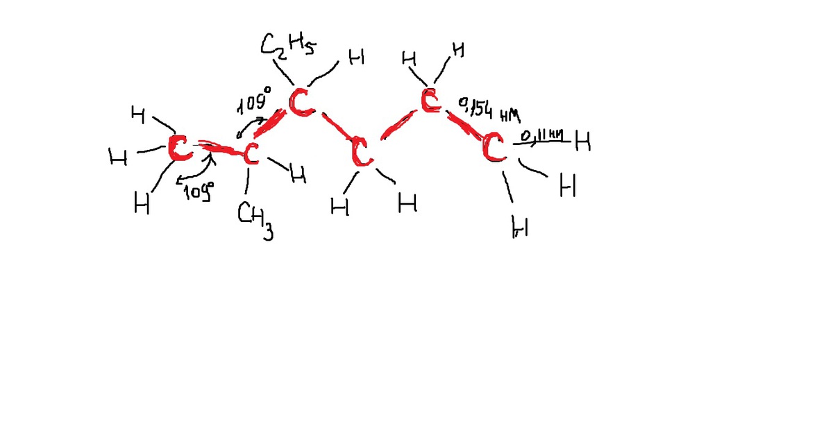
2 метил 3 этил гексан
нарисовать
помогите пожалуйста; (
Ответы
Автор ответа:
0
Метил: -CH3
Этил: -C2H5
Гексан: CH3-CH2-CH2-СH2-CH2-CH3
Теперь всё соединяем вместе и в положениях 2 и 3 замещаем по 1-му водороду на метил и этил, получаем:
CH3-CH(CH3)-CH(C2H5)-CH2-CH2-CH3.
Этил: -C2H5
Гексан: CH3-CH2-CH2-СH2-CH2-CH3
Теперь всё соединяем вместе и в положениях 2 и 3 замещаем по 1-му водороду на метил и этил, получаем:
CH3-CH(CH3)-CH(C2H5)-CH2-CH2-CH3.
Приложения:
Автор ответа:
0
перевести число из десятичной системы счисления в двоичную: 132(10) это информатика
Автор ответа:
0
MENделеев ты тут? (
Похожие вопросы
Предмет: Английский язык,
автор: alla7545
Предмет: Физика,
автор: aaaoaoaaa
Предмет: Биология,
автор: melnikovap991
Предмет: Химия,
автор: berekesha
Предмет: Математика,
автор: ангелина548жщз