Предмет: Математика,
автор: Buragozzznik
Помогите с решением, пожалуйста
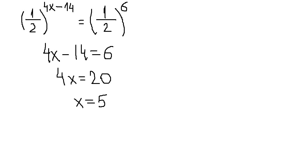
1/2^(4x-14)=1/64
Ответы
Автор ответа:
0
нужно привести к одному основанию
Приложения:
Похожие вопросы
Предмет: История,
автор: dadda74
Предмет: Другие предметы,
автор: dbdnrvs
Предмет: Биология,
автор: Vvggyy
Предмет: Геометрия,
автор: Дариетта412
Предмет: Алгебра,
автор: yata