Предмет: Математика,
автор: dimafarkosh
как сделать ривняння 14-72:(d-3)=8
Ответы
Автор ответа:
0
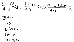
Думаю,вам будет понятна картинка
Приложения:
Автор ответа:
0
72:(d-3)=14-8
72:(d-3)=6
d-3=72:6
d-3=12
d=3+12=15
72:(d-3)=6
d-3=72:6
d-3=12
d=3+12=15
Приложения:
Похожие вопросы
Предмет: Математика,
автор: Аноним
Предмет: Литература,
автор: slepcovainessa78
Предмет: Английский язык,
автор: perviychelovek35
Предмет: Математика,
автор: jkfghgkhgfkjh
Предмет: Химия,
автор: valeraeroxin