Предмет: Математика,
автор: olga79517535991
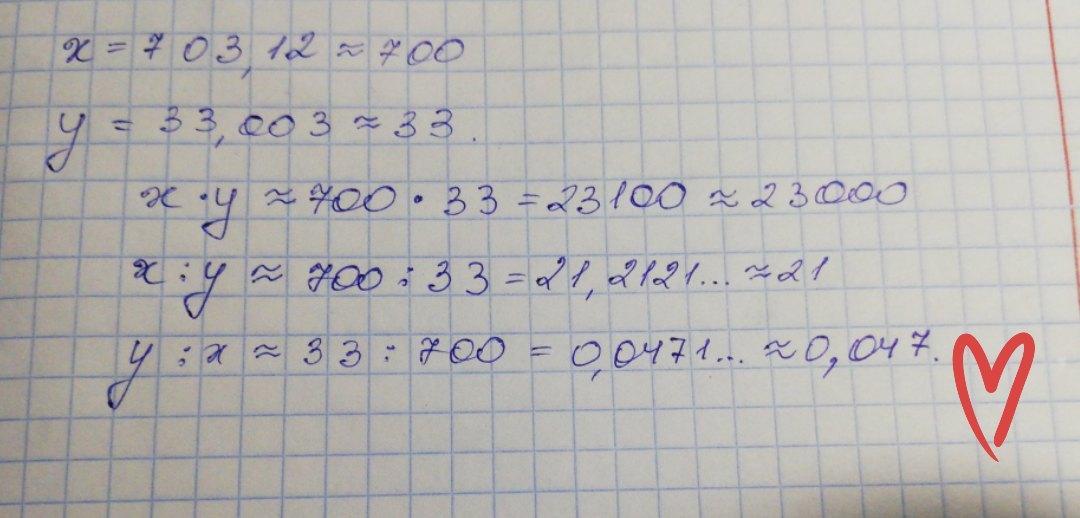
округлив числа x и y до второй значащий цифры, вычислите приближённо их произведения , а так же частные x:y и y:x :
x= 703,12 , y= 33,003
Ответы
Автор ответа:
0
Это задание из учебника "Математика 6 класс" авторы Козлова и Рубин
Приложения:
Похожие вопросы
Предмет: Математика,
автор: kristiankiso2007
Предмет: Русский язык,
автор: gdudjyeu45
Предмет: Другие предметы,
автор: vernerkaty000
Предмет: Математика,
автор: школьнаяледигага
Предмет: История,
автор: Аноним