Предмет: Математика,
автор: yasmina123456
Точка M делит отрезок СД на два отрезка так,что длина одного из них на 5 см больше длины другого.найдите длины этих отрезков, если длина отрезка СД равна 19 см.
Ответы
Автор ответа:
0
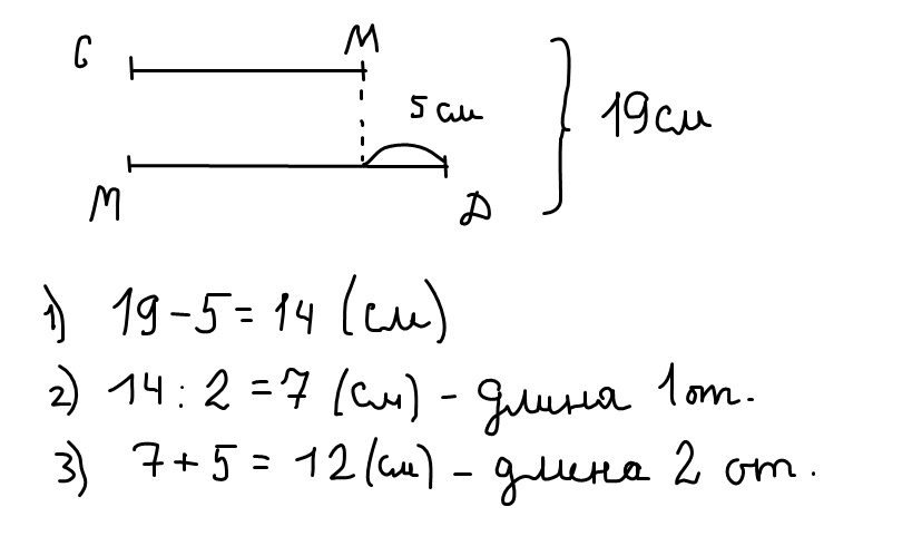
Обозначим соотношение двух полученных отрезков схемой( при помощи отрезков).
1 действием находим длину двух отрезков без разницы в 5 см.
2 действием находим длину 1 отрезка (меньшего)
3 действием находим длину большего отрезка (+5см).
Схема и подробное решение смотри в прикрепленном рисунке.
1 действием находим длину двух отрезков без разницы в 5 см.
2 действием находим длину 1 отрезка (меньшего)
3 действием находим длину большего отрезка (+5см).
Схема и подробное решение смотри в прикрепленном рисунке.
Приложения:
Похожие вопросы
Предмет: Химия,
автор: Аноним
Предмет: Английский язык,
автор: Аноним
Предмет: Английский язык,
автор: Аноним
Предмет: Математика,
автор: yayshakova2013
Предмет: Алгебра,
автор: menshikovavlad