Предмет: Алгебра, автор: Артур998

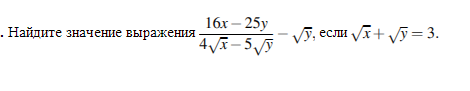
Решите номер есть вложение.

Приложения:

Ответы

Автор ответа: nafanya2014
0
 frac{16x-25y}{4 sqrt{x} -5 sqrt{y} } - sqrt{y} =frac{(4 sqrt{x} +5 sqrt{y})(4 sqrt{x} -5 sqrt{y} ) }{4 sqrt{x} -5 sqrt{y} } - sqrt{y}=4 sqrt{x} +5 sqrt{y}-sqrt{y}= \ =4 sqrt{x} +4 sqrt{y}=4( sqrt{x} + sqrt{y})=4cdot3=12
Похожие вопросы