Предмет: Математика,
автор: mimishka95
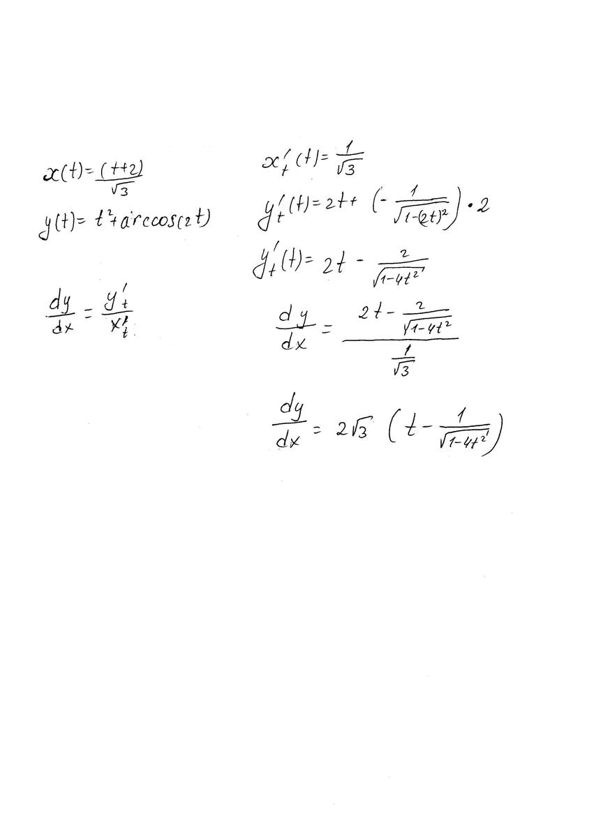
Найти производную dy/dx функции, заданной параметрически:
x(t)=(t+2)/√3
y(t)=t²+arccos2t
Ответы
Автор ответа:
0
Решение во вложении. Должно быть понятно
Приложения:
Похожие вопросы
Предмет: Алгебра,
автор: DRAGONLOFT
Предмет: Химия,
автор: miron314564
Предмет: Физика,
автор: tsemasko67
Предмет: Обществознание,
автор: lamposan
Предмет: Химия,
автор: milachurckina2