Предмет: Алгебра, автор: Stasygirl

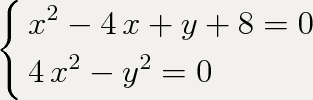
помогите решить систему уравнений. задание во вложениях  

Приложения:

Ответы

Автор ответа: triolana
0

===========================================================

Похожие вопросы
Предмет: Геометрия, автор: nbaizakov