Предмет: Геометрия,
автор: Аноним
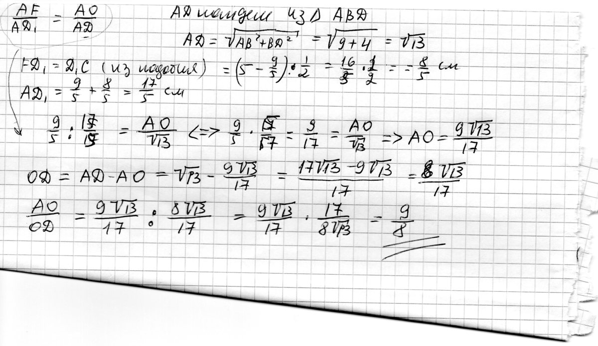
В прямоугольном треугольнике с катетами 3 и 4 см проведены высота прямого угла и медиана большего из острых углов.В каком отношении высота делит медиану?С рисунком
Ответы
Автор ответа:
0
фух решил ))))))))))))))))))))))))))))))))))) состоит из 2-х файлов
Приложения:
Похожие вопросы
Предмет: Математика,
автор: 093309
Предмет: Математика,
автор: zara473
Предмет: Экономика,
автор: madamdiana2001
Предмет: Физика,
автор: Настюшка24