Предмет: Алгебра,
автор: lennon17
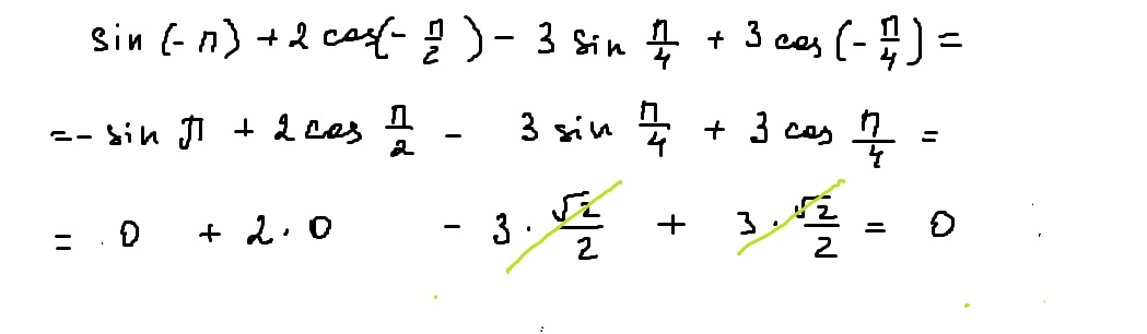
sin(-п)+2cos(-п2)-3sinп4+3cos(-п4)
Ответы
Автор ответа:
0
Решениеееееееееееееееееееееееее
Приложения:
Похожие вопросы
Предмет: География,
автор: 5Vanryat
Предмет: Математика,
автор: stebro817
Предмет: Математика,
автор: wolink
Предмет: Информатика,
автор: русская25
Предмет: Математика,
автор: 1мм