Предмет: Алгебра,
автор: StormZz
Ребята помогите решить карточку срочно надо 10-11 кл
Приложения:
Ответы
Автор ответа:
0
sin^2(2x/3)+8sinx/3sin2x/3+16=cos^2(x/3)
-1<=sinx/3*sin2x/3
8sinx/3sin2x/3>=-8
sin^2(2x/3)>=0
1=>cos^2(x/3)>=0
получаем слева от равенство значение не меньше 8.
а справа от равенства меньше 1.
я пока не нашел ясного объяснения.
sqrt(2)=tgsqrt(x)
x=(arctg(sqrt(2)+пk)^2
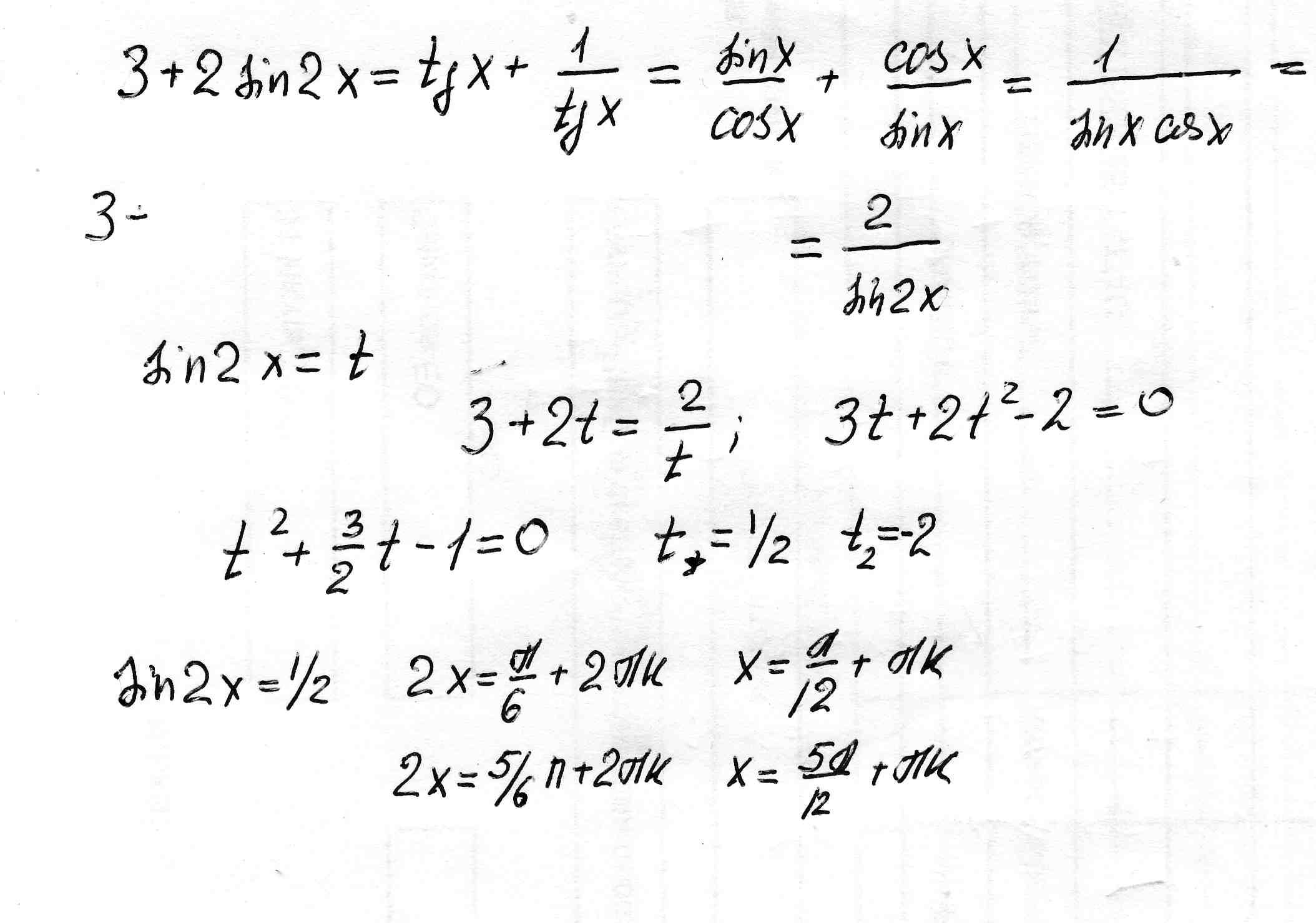
Приложения:
Похожие вопросы
Предмет: Другие предметы,
автор: Аноним
Предмет: Математика,
автор: Аноним
Предмет: Химия,
автор: 0974117601
Предмет: Математика,
автор: grisha5476