Предмет: Алгебра,
автор: uchenica2014
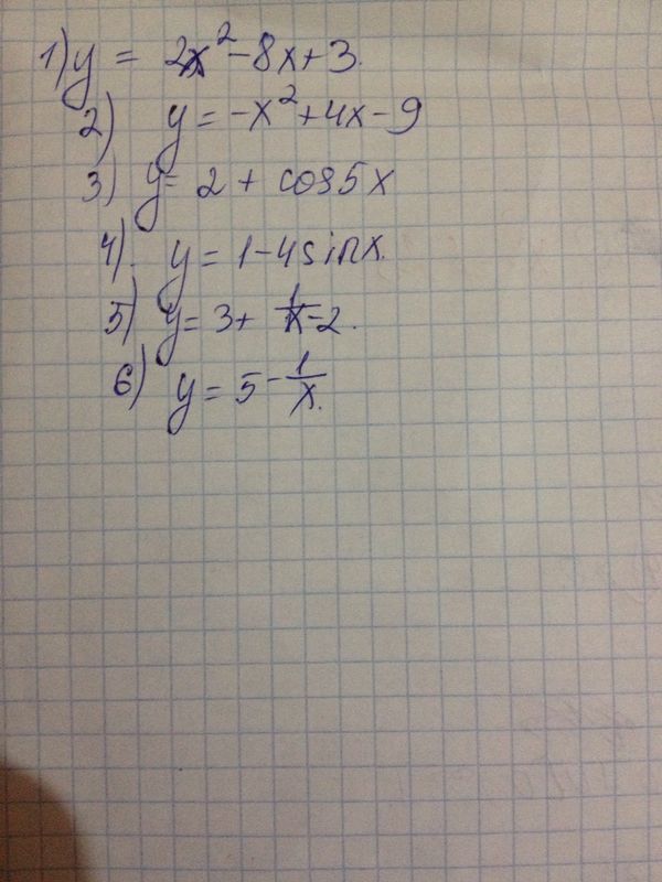
области значений функции.Помогите пожалуйстаааа. и чертеж
Приложения:
Ответы
Автор ответа:
0
решение смотри на фотографии
Приложения:
Автор ответа:
0
3)Строим у=cosx/Сжимаем по оси ох в 5 раз,т.е. период теперь 2π/5. Ось ох опускаем на 2 единицы вниз
4)Строим у=-sinx.Растягиваем по оси оу в 4 раза,т.е. от -4 до 4.Ось ох опускаем на 1 единицу вниз
4)Строим у=-sinx.Растягиваем по оси оу в 4 раза,т.е. от -4 до 4.Ось ох опускаем на 1 единицу вниз
Приложения:
Похожие вопросы
Предмет: Українська література,
автор: blackfortniteninja
Предмет: Геометрия,
автор: svetik130327
Предмет: Английский язык,
автор: alvarddavtyan56
Предмет: Математика,
автор: brat291