Предмет: Алгебра,
автор: Карина199999
Помогите пожалуйста решить
Приложения:
Ответы
Автор ответа:
0
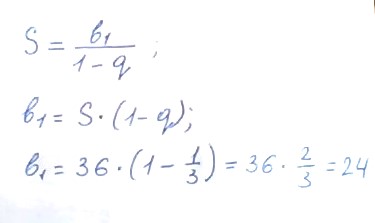
Дивіться на малюнок якість не дуже, але розібрати можна
Приложения:
Автор ответа:
0
Дуже дякую)
Похожие вопросы
Предмет: Информатика,
автор: Francesco01
Предмет: Алгебра,
автор: viktoria9910
Предмет: История,
автор: ssozaeva99
Предмет: Биология,
автор: surfusion
Предмет: Геометрия,
автор: Аноним