Предмет: Математика,
автор: kololot115
Ответы
Автор ответа:
0
===================================
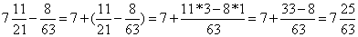
Приложения:
Похожие вопросы
Предмет: Алгебра,
автор: mirzahmtovaanela
Предмет: Математика,
автор: vitagerman97
Предмет: Алгебра,
автор: romanihin2006
Предмет: Геометрия,
автор: Nefrita
Предмет: Алгебра,
автор: vaHya