Предмет: Алгебра,
автор: Аноним
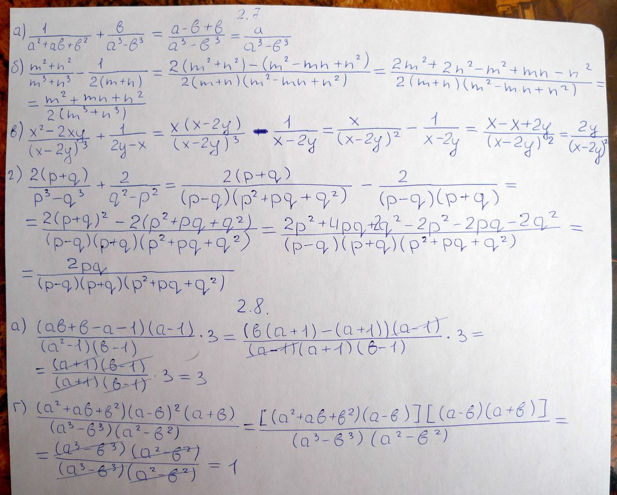
РЕБЯТА ПОМОГИ СРОЧНО РЕШИТЬ НОМЕР 2.7 ПОЛНОСТЬЮ А НОМЕР 2.8 ПО А) Г)!БУДУ ОЧЕНЬ БЛАГОДАРНА,ПОМОГИТЕ ДАЮ 50 БАЛЛОВ
Приложения:
Ответы
Автор ответа:
0
См. решение в приложении
Приложения:
Похожие вопросы
Предмет: Английский язык,
автор: lva77763
Предмет: Английский язык,
автор: sashakeleman
Предмет: МХК,
автор: Аноним
Предмет: Биология,
автор: FunnyPotato
Предмет: География,
автор: ogrdv