Предмет: Алгебра, автор: Аноним

Решите пожалуйста под в и г)) Заранее огромное спасибо!!!

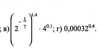
Приложения:

Ответы

Автор ответа: inblu
0
(2^{-frac{1}{7}})^{1.4}*4^{0.1}=2^{- frac{1*14}{7*10}}*4^{0.1}=2^{- frac{2}{10}}*(2^{2})^{0.1}=2^{-0.2}*2^{0.2}= \ =2^{-0.2+0.2}=2^0=1 \0.00032^{0.4}=(0.2^{5})^{0.4}=0.2^{5*0.4}=0.2^2=0.04
Автор ответа: Аноним
0
Помножите еще кое-что решить?)
Похожие вопросы